
电池结构和OA-PbSO4(PbO)4量子点对电池中电荷转移机制的示意图

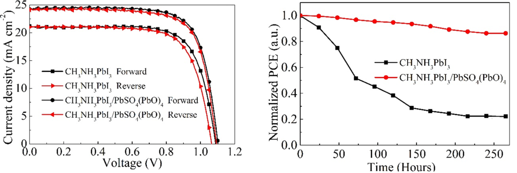
电池的光电转换效率和稳定性测试结果
近日,我校光伏材料省重点实验室校特聘教授陈冲课题组在钙钛矿太阳能电池研究领域取得重要进展,研究成果以 “Efficient and stable perovskite solar cells thanks to dual functions of oleyl amine-coated PbSO4(PbO)4 quantum dots: defect passivation and moisture/oxygen blocking ”为题,发表在国际能源领域顶级期刊《Nano Energy》(影响因子15.54)。
有机-无机杂化钙钛矿太阳能电池具有光电转化效率高、制备工艺简单等优点和潜在的工业化应用前景,得到了人们广泛的关注。然而,有机-无机杂化钙钛矿晶体表面或内部存在大量缺陷态,这使得电池性能不够稳定。如何同时提高电池的光电转换效率和稳定性是目前研究者面临的重要难题。
针对上述问题,陈冲教授课题组采用首次合成的油胺分子包覆的四碱式硫酸铅量子点(OA-PbSO4(PbO)4),对CH3NH3PbI3钙钛矿晶体薄膜进行钝化处理,系统研究了OA-PbSO4(PbO)4 量子点对钙钛矿晶体薄膜中的缺陷态、电池中界面电荷转移机理以及电池性能的影响。研究发现:一方面,引入的PbSO4(PbO)4量子点能有效钝化钙钛矿晶体表面配位不饱和的Pb阳离子和I阴离子,同时油胺分子能与CH3NH3PbI3中的CH3NH3+有机阳离子形成很强的氢键,起到了减少钙钛矿晶体缺陷态和增强晶体化学稳定性的作用;另一方面,OA-PbSO4(PbO)4量子点改变了CH3NH3PbI3/TiO2和CH3NH3PbI3/spiro-OMeTAD界面处的能级匹配,这有效地促进了电池中界面电荷的抽取、抑制了电池内部的电荷复合,从而提高了电池的效率。此外,OA-PbSO4(PbO)4量子点具有良好的疏水性,这有效地减缓了大气环境中的水和氧向钙钛矿活性层的渗透,增强了电池的稳定性。由于以上积极因素,电池的光电转换效率从16.8%增加到了20%以上,并且器件稳定性得到了显著提升。未封装的电池在大气环境下经过280小时后,光电转换效率依然维持在初始效率的90%,该研究成果为实现钙钛矿太阳能电池的高效率和高稳定性提供了新的材料和研究思路。
河南大学为论文的第一完成单位,陈冲、李福民为共同第一作者,陈冲教授为第一通讯作者,四川大学黄青松教授与中国科学院合肥物质科学研究院王命泰研究员为共同通讯作者。研究工作受到国家自然科学基金项目、河南省高校科技创新人才、河南大学青年人才种子基金等项目的资助。
陈冲教授课题组在实验室主任张伟风教授和实验室同事的大力支持下,一直致力于钙钛矿太阳能电池、量子点太阳能电池和聚合物太阳能电池等方向的研究。课题组成员已在《Nano Energy》、《Nature Communication》、《Journal of Materials Chemistry A》、《ACS applied materials & interfaces》、《Journal of Power Sources》、《Journal of Materials Chemistry C》、《Solar Energy Materials and Solar Cells》等国际知名SCI期刊上发表论文40余篇,获得授权发明专利8项,主持国家、省级和校级项目10余项,在太阳能电池相关领域取得了系列研究成果。同时课题组与国内外知名研究机构和高校,如中科院合肥研究院、中科院宁波材料技术与工程研究所、中科院化学所、韩国高等科学技术研究所(KAIST)、四川大学、美国匹兹堡大学、台湾国立交通大学等,开展了广泛的交流与合作。
论文连接: https://doi.org/10.1016/j.nanoen.2019.104313